Topologie des espaces métriques#

Un topologiste est quelqu’un qui ne sait pas distinguer une tasse de café d’un beignet.

John L. Kelley

Introduction#

Jusqu’ici, nos résultats reposaient sur des propriétés spécifiques de \(\mathbb{R}\) : borne supérieure, valeur absolue, complétude. Ce chapitre abstrait ces notions en introduisant les espaces métriques, où la seule donnée est une distance. Ce cadre unifie l’étude des limites, de la continuité et de la compacité dans \(\mathbb{R}^n\), les espaces de fonctions, et bien d’autres.

Hide code cell source

import numpy as np
import matplotlib.pyplot as plt
from matplotlib.patches import Circle, Polygon, FancyArrowPatch
import matplotlib.patches as mpatches

fig, axes = plt.subplots(3, 1, figsize=(9, 14))

# --- Boules unités pour différentes métriques ---
ax = axes[0]
theta = np.linspace(0, 2*np.pi, 300)

# L2 : cercle
ax.fill(np.cos(theta), np.sin(theta), alpha=0.15, color='blue')
ax.plot(np.cos(theta), np.sin(theta), 'b-', lw=2.5, label='$d_2$ (euclidienne)')

# L1 : losange
diamond_x = [1, 0, -1, 0, 1]; diamond_y = [0, 1, 0, -1, 0]
ax.fill(diamond_x, diamond_y, alpha=0.15, color='green')
ax.plot(diamond_x, diamond_y, 'g-', lw=2.5, label='$d_1$ (Manhattan)')

# Linf : carré
ax.fill([-1,1,1,-1,-1], [-1,-1,1,1,-1], alpha=0.1, color='red')
ax.plot([-1,1,1,-1,-1], [-1,-1,1,1,-1], 'r-', lw=2.5, label='$d_\\infty$ (sup)')

# Inclusions
ax.text(0, 0, '0', ha='center', va='center', fontsize=12, fontweight='bold')
ax.set_xlim(-1.6, 1.6); ax.set_ylim(-1.6, 1.6)
ax.set_aspect('equal')
ax.axhline(0, color='k', lw=0.5); ax.axvline(0, color='k', lw=0.5)
ax.legend(fontsize=8, loc='upper right')
ax.set_title('Boules unités dans $\\mathbb{R}^2$\n$d_\\infty \\leq d_2 \\leq d_1 \\leq \\sqrt{2}d_\\infty$', fontsize=10)

# --- Ouvert, fermé, frontière ---
ax = axes[1]
# Disque ouvert
circle_open = plt.Circle((0, 0), 1, fill=True, facecolor='lightblue', edgecolor='blue',
                           lw=2, linestyle='--', label='Ouvert $D(0,1)$')
ax.add_patch(circle_open)

# Point intérieur et boule incluse
ax.scatter([0.4], [0.3], color='blue', s=60, zorder=5)
small = plt.Circle((0.4, 0.3), 0.2, fill=False, edgecolor='blue', lw=1.5, linestyle=':')
ax.add_patch(small)
ax.annotate('$x \\in \\mathring{A}$', (0.4, 0.3), xytext=(0.6, 0.6), fontsize=9,
            arrowprops=dict(arrowstyle='->', color='blue'))

# Point frontière
ax.scatter([0.8, 0], [0.6, -1.0], color='green', s=60, zorder=5)
ax.annotate('$x \\in \\partial A$', (0.8, 0.6), xytext=(1.1, 0.8), fontsize=9,
            arrowprops=dict(arrowstyle='->', color='green'))

# Point extérieur
ax.scatter([1.3], [0.4], color='red', s=60, zorder=5)
ax.annotate('Extérieur', (1.3, 0.4), xytext=(1.1, -0.2), fontsize=9, color='red')

ax.set_xlim(-1.7, 1.7); ax.set_ylim(-1.5, 1.5)
ax.set_aspect('equal')
ax.axhline(0, color='k', lw=0.5); ax.axvline(0, color='k', lw=0.5)
ax.set_title('Intérieur, frontière, extérieur', fontsize=11)
ax.legend(fontsize=8)

# --- Compact vs non-compact ---
ax = axes[2]
# Compact : fermé borné
t = np.linspace(0, 2*np.pi, 200)
compact_x = 0.8*np.cos(t) - 0.5
compact_y = 0.5*np.sin(t) + 0.2
ax.fill(compact_x, compact_y, alpha=0.3, color='green')
ax.plot(compact_x, compact_y, 'g-', lw=2)
ax.text(-0.5, 0.2, 'Compact\n(fermé, borné)', ha='center', va='center', fontsize=8, color='darkgreen')

# Non compact : ouvert (pas fermé)
semi = np.linspace(0, np.pi, 100)
nc_x = np.concatenate([0.7*np.cos(semi)+0.7, [0.7+0.7, 0.7-0.7]])
nc_y = np.concatenate([0.5*np.sin(semi)-0.6, [-0.6, -0.6]])
ax.fill(nc_x, nc_y, alpha=0.15, color='red')
ax.plot(np.concatenate([0.7*np.cos(semi)+0.7, [0.7+0.7]]),
        np.concatenate([0.5*np.sin(semi)-0.6, [-0.6]]), 'r-', lw=2)
ax.plot([0.7-0.7, 0.7+0.7], [-0.6, -0.6], 'r--', lw=2)  # bord ouvert
ax.text(0.7, -0.7, 'Non-compact\n(pas fermé)', ha='center', va='center', fontsize=8, color='darkred')

# Non compact : non borné
ax.annotate('', xy=(1.6, 0.8), xytext=(0.8, 0.4),
            arrowprops=dict(arrowstyle='->', color='orange', lw=2))
ax.text(0.9, 0.7, 'Non-compact\n(non borné)', ha='center', fontsize=8, color='darkorange')

ax.set_xlim(-1.5, 1.9); ax.set_ylim(-1.3, 1.2)
ax.set_aspect('equal')
ax.axhline(0, color='k', lw=0.5); ax.axvline(0, color='k', lw=0.5)
ax.set_title('Compacts dans $\\mathbb{R}^2$\n(Heine-Borel : fermé et borné)', fontsize=10)

plt.suptitle('Topologie des espaces métriques', fontsize=13, fontweight='bold')
plt.tight_layout()
plt.show()
_images/82c23c8e873157e00463bb0bd2c6afc55335aec9c3fdd0eddf62da34332f2860.png

Espaces métriques#

Définition 199 (Distance)

Une distance (métrique) sur \(X\) est \(d : X \times X \to \mathbb{R}_+\) vérifiant pour tous \(x, y, z \in X\) :

  1. Séparation : \(d(x, y) = 0 \Leftrightarrow x = y\)

  2. Symétrie : \(d(x, y) = d(y, x)\)

  3. Inégalité triangulaire : \(d(x, z) \leq d(x, y) + d(y, z)\)

Le couple \((X, d)\) est un espace métrique.

Exemple 100

  • \((\mathbb{R}^n, d_2)\) : distance euclidienne \(d_2(x,y) = \sqrt{\sum(x_i-y_i)^2}\)

  • \((\mathbb{R}^n, d_1)\) : Manhattan \(d_1(x,y) = \sum|x_i - y_i|\)

  • \((\mathbb{R}^n, d_\infty)\) : sup \(d_\infty(x,y) = \max_i|x_i - y_i|\)

  • \((\mathcal{C}([0,1]), d_\infty)\) : \(d_\infty(f,g) = \sup_t|f(t)-g(t)|\)

  • Distance discrète : \(d(x,y) = \mathbf{1}_{x \neq y}\)

Proposition 282 (Inégalité triangulaire inverse)

\(|d(x,z) - d(y,z)| \leq d(x,y)\) pour tous \(x, y, z \in X\).

Proof. \(d(x,z) \leq d(x,y) + d(y,z)\) donne \(d(x,z)-d(y,z) \leq d(x,y)\). En échangeant \(x\) et \(y\), on conclut.

Topologie d’un espace métrique#

Définition 200 (Boules, ouverts, fermés)

  • Boule ouverte : \(B(a, r) = \{x : d(x, a) < r\}\)

  • Boule fermée : \(\overline{B}(a, r) = \{x : d(x, a) \leq r\}\)

  • Ouvert : \(U\) tel que \(\forall x \in U\), \(\exists r > 0\), \(B(x, r) \subset U\)

  • Fermé : complémentaire d’un ouvert

Proposition 283 (Propriétés des ouverts)

  1. \(\varnothing\) et \(X\) sont ouverts

  2. Réunion quelconque d’ouverts est ouverte

  3. Intersection finie d’ouverts est ouverte

  4. Toute boule ouverte est un ouvert

Proof. 4. Soit \(y \in B(a, r)\) et \(\rho = r - d(a, y) > 0\). Pour \(z \in B(y, \rho)\) : \(d(z,a) \leq d(z,y) + d(y,a) < \rho + d(a,y) = r\).

3. Si \(x \in \bigcap_{j=1}^k U_j\) et \(r_j > 0\) avec \(B(x,r_j) \subset U_j\), prendre \(r = \min_j r_j > 0\).

Contre-exemple (infini) : \(\bigcap_{n \geq 1](-1/n, 1/n) = \{0\}\) n’est pas ouvert dans \(\mathbb{R}\).

Définition 201 (Intérieur, adhérence, frontière)

  • Intérieur de \(A\) : \(\mathring{A} = \bigcup\{U \text{ ouvert} : U \subset A\}\)

  • Adhérence de \(A\) : \(\overline{A} = \bigcap\{F \text{ fermé} : A \subset F\}\)

  • Frontière : \(\partial A = \overline{A} \setminus \mathring{A}\)

Caractérisations : \(x \in \mathring{A} \Leftrightarrow \exists r > 0\), \(B(x,r) \subset A\) ; \(x \in \overline{A} \Leftrightarrow \forall r > 0\), \(B(x,r) \cap A \neq \varnothing\).

Remarque 108

« Ouvert » et « fermé » ne sont pas opposés : \(\varnothing\) et \(X\) sont les deux simultanément. \([0,1[\) dans \(\mathbb{R}\) n’est ni ouvert ni fermé.

Définition 202 (Dense)

\(A \subset X\) est dense dans \(X\) si \(\overline{A} = X\). Exemples : \(\mathbb{Q}\) dense dans \(\mathbb{R}\) ; les polynômes denses dans \((\mathcal{C}([0,1]), d_\infty)\) (Weierstrass).

Suites dans un espace métrique#

Définition 203 (Convergence)

\((x_n) \to \ell\) si \(\forall \varepsilon > 0\), \(\exists N\), \(\forall n \geq N\), \(d(x_n, \ell) < \varepsilon\). La limite est unique.

Proposition 284 (Caractérisation séquentielle de l’adhérence)

\(x \in \overline{A}\) \(\Leftrightarrow\) il existe \((a_n) \subset A\) avec \(a_n \to x\).

\(F\) est fermé \(\Leftrightarrow\) toute suite d’éléments de \(F\) qui converge a sa limite dans \(F\).

Proof. \((\Rightarrow)\) : \(x \in \overline{A}\) donc \(B(x, 1/n) \cap A \neq \varnothing\), choisir \(a_n\) dans cette intersection. \((\Leftarrow)\) : si \(a_n \to x\) et \(a_n \in A\), alors tout \(B(x,r)\) contient \(a_n\) pour \(n\) grand.

Continuité#

Définition 204 (Continuité)

\(f : (X, d_X) \to (Y, d_Y)\) est continue en \(a\) si \(\forall \varepsilon > 0\), \(\exists \delta > 0\), \(d_X(x,a) < \delta \Rightarrow d_Y(f(x),f(a)) < \varepsilon\).

Théorème 8 (Caractérisations équivalentes de la continuité)

Les assertions suivantes sont équivalentes :

  1. \(f\) est continue

  2. Pour toute suite \(x_n \to a\), \(f(x_n) \to f(a)\) (caractérisation séquentielle)

  3. L’image réciproque de tout ouvert est un ouvert

  4. L’image réciproque de tout fermé est un fermé

Proof. \((1) \Rightarrow (2)\) : si \(x_n \to a\) et \(\varepsilon > 0\), prendre \(\delta\) donné par la continuité, puis \(N\) tel que \(d(x_n, a) < \delta\) pour \(n \geq N\).

\((1) \Rightarrow (3)\) : soit \(V\) ouvert dans \(Y\) et \(x \in f^{-1}(V)\). Il existe \(\varepsilon > 0\) avec \(B(f(x),\varepsilon) \subset V\). Par continuité en \(x\), \(\exists \delta > 0\), \(B(x,\delta) \subset f^{-1}(V)\).

\((3) \Rightarrow (1)\) : \(B(f(a),\varepsilon)\) est ouvert, donc \(f^{-1}(B(f(a),\varepsilon))\) est ouvert et contient \(a\), donnant le \(\delta\) voulu.

Définition 205 (Continuité uniforme et Lipschitz)

\(f\) est uniformément continue si \(\forall \varepsilon > 0\), \(\exists \delta > 0\), \(\forall x,y\), \(d_X(x,y) < \delta \Rightarrow d_Y(f(x),f(y)) < \varepsilon\) (même \(\delta\) pour tout \(x\)).

\(f\) est \(k\)-lipschitzienne si \(d_Y(f(x),f(y)) \leq k\,d_X(x,y)\).

Implications : lipschitzienne \(\Rightarrow\) uniformément continue \(\Rightarrow\) continue (réciproques fausses en général).

Compacité#

Définition 206 (Compact)

\((X, d)\) est compact si de tout recouvrement ouvert de \(X\) on peut extraire un sous-recouvrement fini (Borel-Lebesgue).

Théorème 9 (Caractérisations équivalentes)

Dans un espace métrique, compact (Borel-Lebesgue) \(\Leftrightarrow\) toute suite admet une sous-suite convergente (Bolzano-Weierstrass séquentiel).

Théorème 10 (Heine-Borel)

Dans \(\mathbb{R}^n\), \(K\) est compact \(\Leftrightarrow\) \(K\) est fermé et borné.

Proof. \((\Rightarrow)\) Fermé : si \(x_n \in K\) et \(x_n \to \ell\), par Bolzano-Weierstrass une sous-suite de \((x_n)\) converge vers un point de \(K\), qui est \(\ell\) (unicité). Donc \(\ell \in K\).

Borné : les boules \(B(0, n)\) recouvrent \(K\), on en extrait un nombre fini.

\((\Leftarrow)\) \((x_n)\) dans \(K\) fermé borné : borné dans \(\mathbb{R}^n\) donc par Bolzano-Weierstrass (composante par composante), une sous-suite converge vers \(\ell \in \mathbb{R}^n\). Comme \(K\) est fermé, \(\ell \in K\).

Remarque 109

Heine-Borel est propre à \(\mathbb{R}^n\). Dans \((\mathcal{C}([0,1]), d_\infty)\), la boule unité fermée est fermée bornée mais non compacte (théorème de Riesz, chapitre suivant).

Théorème 11 (Propriétés des compacts)

Soit \(K\) compact.

  1. Toute partie fermée de \(K\) est compacte

  2. L’image continue d’un compact est compacte

  3. Bornes atteintes : \(f : K \to \mathbb{R}\) continue atteint son minimum et son maximum

  4. Heine : \(f : K \to Y\) continue est uniformément continue

Proof. 2. Soit \((V_i)\) un recouvrement ouvert de \(f(K)\). Alors \((f^{-1}(V_i))\) est un recouvrement ouvert de \(K\). Par compacité, on en extrait un sous-recouvrement fini ; les \(V_i\) correspondants recouvrent \(f(K)\).

4. (Heine) Par l’absurde : si \(f\) n’est pas uniformément continue, \(\exists \varepsilon_0 > 0\) et suites \(x_n, y_n\) avec \(d(x_n, y_n) < 1/n\) et \(d(f(x_n), f(y_n)) \geq \varepsilon_0\). Par compacité, extraire \(x_{\sigma(n)} \to \ell\). Alors \(y_{\sigma(n)} \to \ell\) aussi. Par continuité en \(\ell\) : \(d(f(x_{\sigma(n)}), f(y_{\sigma(n)})) \to 0\) — contradiction.

Connexité#

Définition 207 (Connexité et connexité par arcs)

\((X, d)\) est connexe si les seules parties à la fois ouvertes et fermées sont \(\varnothing\) et \(X\).

\((X, d)\) est connexe par arcs si pour tous \(a, b \in X\), il existe un chemin continu \(\gamma : [0,1] \to X\) avec \(\gamma(0) = a\), \(\gamma(1) = b\).

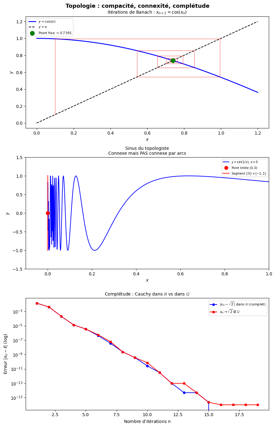
Connexe par arcs \(\Rightarrow\) connexe (réciproque fausse : le sinus du topologiste).

Théorème 12 (Connexes de \(\mathbb{R}\))

Les parties connexes de \(\mathbb{R}\) sont exactement les intervalles.

Proof. Intervalle \(\Rightarrow\) connexe : Soit \(I\) intervalle et \(I = U_1 \sqcup U_2\) avec \(U_1, U_2\) ouverts non vides dans \(I\). Prendre \(a \in U_1\), \(b \in U_2\), \(a < b\). Poser \(c = \sup(U_1 \cap [a,b])\). Alors \(c \in \overline{U_1}\), donc \(c \notin U_2\) (sinon un voisinage de \(c\) est dans \(U_2\), contredisant \(c = \sup U_1 \cap [a,b]\)). Et \(c \notin U_1\) (sinon un voisinage de \(c\) est dans \(U_1\), mais \(c \leq b\) et \(b \in U_2\), donc \(c < b\), contradiction avec \(c = \sup\)). Donc \(c\) n’est dans aucun des deux — contradiction.

Réciproquement : si \(A\) n’est pas un intervalle, \(\exists a < c < b\) avec \(a, b \in A\), \(c \notin A\). Alors \(A = (A \cap ]-\infty, c[) \cup (A \cap ]c, +\infty[)\) est une partition en deux ouverts relatifs non vides.

Théorème 13 (Image continue d’un connexe)

L’image continue d’un connexe est connexe. En particulier : si \(f : [a,b] \to \mathbb{R}\) est continue, \(f([a,b])\) est un intervalle (théorème des valeurs intermédiaires).

Proof. Si \(f(X) = V_1 \sqcup V_2\) ouverts non vides dans \(f(X)\), alors \(X = f^{-1}(V_1) \sqcup f^{-1}(V_2)\) partition en ouverts non vides — contredit la connexité de \(X\).

Complétude#

Définition 208 (Suite de Cauchy et espace complet)

\((x_n)\) est de Cauchy si \(\forall \varepsilon > 0\), \(\exists N\), \(\forall p, q \geq N\), \(d(x_p, x_q) < \varepsilon\).

\((X, d)\) est complet si toute suite de Cauchy y converge.

Proposition 285

Toute suite convergente est de Cauchy. Tout compact est complet. \(\mathbb{R}^n\) et \((\mathcal{C}([0,1]), d_\infty)\) sont complets. \(\mathbb{Q}\) n’est pas complet.

Proof. Convergente \(\Rightarrow\) Cauchy : \(d(x_p, x_q) \leq d(x_p, \ell) + d(\ell, x_q) < \varepsilon/2 + \varepsilon/2 = \varepsilon\) pour \(p, q \geq N\).

Théorème 14 (Théorème du point fixe de Banach)

Soit \((X, d)\) complet non vide et \(f : X \to X\) une contraction (\(k\)-lipschitzienne, \(0 \leq k < 1\)). Alors :

  • \(f\) admet un unique point fixe \(\ell\) (\(f(\ell) = \ell\))

  • Pour tout \(x_0 \in X\), la suite \(x_{n+1} = f(x_n)\) converge vers \(\ell\)

  • Estimation a posteriori : \(d(x_n, \ell) \leq \frac{k^n}{1-k} d(x_1, x_0)\)

Proof. Unicité : \(f(\ell) = \ell\) et \(f(\ell') = \ell'\) implique \(d(\ell, \ell') = d(f(\ell), f(\ell')) \leq k\,d(\ell, \ell')\), donc \(d(\ell,\ell') = 0\).

Existence : \(d(x_{n+1}, x_n) \leq k^n d(x_1, x_0)\) par récurrence. Pour \(p > q\) : \(d(x_p, x_q) \leq \sum_{n=q}^{p-1} k^n d(x_1, x_0) \leq \frac{k^q}{1-k} d(x_1, x_0) \to 0\). Donc \((x_n)\) est de Cauchy, converge vers \(\ell\), et \(f(\ell) = \lim f(x_n) = \lim x_{n+1} = \ell\).

Exemple 101

Applications :

  • Équations différentielles : le théorème de Cauchy-Lipschitz (existence et unicité) se démontre par itérations de Picard, qui sont des contractions dans \((\mathcal{C}, d_\infty)\).

  • Méthode de Newton : \(f(x) = x - g(x)/g'(x)\) est une contraction quadratique près d’une racine simple de \(g\).

  • \(x = \cos x\) : itération de \(f(x) = \cos(x)\) sur \([0,1]\) converge vers \(x^* \approx 0.7391\).

Hide code cell source

import numpy as np
import matplotlib.pyplot as plt
from matplotlib.patches import FancyArrowPatch

fig, axes = plt.subplots(3, 1, figsize=(9, 14))

# --- Point fixe de Banach : cobweb pour cos(x) ---
ax = axes[0]
x = np.linspace(0, 1.2, 300)
ax.plot(x, np.cos(x), 'b-', lw=2, label='$y = \\cos(x)$')
ax.plot(x, x, 'k--', lw=1.5, label='$y = x$')

# Itérations
x0 = 0.1
xs = [x0]
for _ in range(15):
    xs.append(np.cos(xs[-1]))

for i in range(len(xs)-1):
    ax.plot([xs[i], xs[i]], [xs[i], xs[i+1]], 'r-', lw=0.8, alpha=0.7)
    ax.plot([xs[i], xs[i+1]], [xs[i+1], xs[i+1]], 'r-', lw=0.8, alpha=0.7)

fixed = 0.7390851332
ax.scatter([fixed], [fixed], color='green', s=100, zorder=5, label=f'Point fixe $\\approx {fixed:.4f}$')
ax.set_xlabel('$x$'); ax.set_ylabel('$y$')
ax.set_title('Itérations de Banach : $x_{n+1} = \\cos(x_n)$', fontsize=10)
ax.legend(fontsize=8)

# --- Connexité : topologiste sinus ---
ax = axes[1]
# Sinus du topologiste : connexe mais pas connexe par arcs
t = np.linspace(0.001, 1, 1000)
x_sinus = t
y_sinus = np.sin(1/t)
ax.plot(x_sinus, y_sinus, 'b-', lw=1.5, label='$y = \\sin(1/x)$, $x > 0$')
ax.plot([0], [0], 'ro', markersize=8, label='Point limite $(0,0)$')
ax.plot([0, 0], [-1, 1], 'r-', lw=3, alpha=0.5, label='Segment $\\{0\\} \\times [-1,1]$')

ax.set_xlim(-0.1, 1); ax.set_ylim(-1.5, 1.5)
ax.set_xlabel('$x$'); ax.set_ylabel('$y$')
ax.set_title('Sinus du topologiste\nConnexe mais PAS connexe par arcs', fontsize=10)
ax.legend(fontsize=7)

# --- Vitesse de convergence (suite de Cauchy, complet vs incomplet) ---
ax = axes[2]
# Dans Q : 1.4, 1.41, 1.414, ...  (ne converge pas dans Q vers sqrt(2))
n_iter = np.arange(1, 20)
sqrt2_approx = np.array([float(f'{np.sqrt(2):.{k}f}') for k in range(1, 20)])
errors_R = np.abs(sqrt2_approx - np.sqrt(2))

# Dans R : converge
ax.semilogy(n_iter, errors_R, 'b-o', markersize=5, label='$|x_n - \\sqrt{2}|$ dans $\\mathbb{R}$ (complet)')

# Simulation d'une suite de Cauchy non convergente dans Q (distance de Q vers sqrt(2))
xn = np.array([int(np.sqrt(2) * 10**k) / 10**k for k in range(1, 20)])
errors_Q = np.abs(xn - np.sqrt(2))
ax.semilogy(n_iter, np.maximum(errors_Q, 1e-16), 'r-s', markersize=5, label='$x_n \\to \\sqrt{2} \\notin \\mathbb{Q}$')

ax.axhline(0, color='k', lw=0.5)
ax.set_xlabel('Nombre d\'itérations $n$')
ax.set_ylabel('Erreur $|x_n - \\ell|$ (log)')
ax.set_title('Complétude : Cauchy dans $\\mathbb{R}$ vs dans $\\mathbb{Q}$', fontsize=10)
ax.legend(fontsize=8)

plt.suptitle('Topologie : compacité, connexité, complétude', fontsize=13, fontweight='bold')
plt.tight_layout()
plt.show()
_images/571074f0065d89e7f37b7195e135476ef94b09b4299bf48ebc34a725560fe0f6.png

Topologie produit#

Proposition 286 (Produit d’espaces métriques)

Sur \(X_1 \times X_2\) : \(d((x_1,x_2),(y_1,y_2)) = \max(d_1(x_1,y_1), d_2(x_2,y_2))\) est une distance.

  • \((x_n, y_n) \to (\ell, m)\) \(\Leftrightarrow\) \(x_n \to \ell\) et \(y_n \to m\)

  • \(X_1 \times X_2\) compact \(\Leftrightarrow\) \(X_1\) et \(X_2\) compacts

  • \(X_1 \times X_2\) complet \(\Leftrightarrow\) \(X_1\) et \(X_2\) complets

  • \(X_1 \times X_2\) connexe \(\Leftrightarrow\) \(X_1\) et \(X_2\) connexes

Résumé#

Concept

Résultat clé

Espace métrique

\((X,d)\) : séparation, symétrie, inégalité triangulaire

Ouvert

\(B(x,r) \subset U\) ; stable par \(\cup\) quelconque et \(\cap\) finie

Fermé

Complémentaire d’un ouvert, stable par limite

Compact (Borel-Lebesgue)

\(\iff\) séquentiel ; dans \(\mathbb{R}^n\) : fermé et borné (Heine-Borel)

Propriétés des compacts

Bornes atteintes, Heine (uniforme continuité)

Connexe

Pas de partition en 2 ouverts ; dans \(\mathbb{R}\) : intervalles

Complet

Toute suite de Cauchy converge

Banach

Contraction sur complet \(\Rightarrow\) unique point fixe